Постройте график функции y = x²- 6x
1) Графиком квадратичной функции является парабола. Для построения параболы необходимо найти координаты ее вершины.
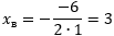
Способ 1. Координаты вершины параболы можно посчитать по формуле
, где a и b – коэффициенты в квадратном уравнении, задающем данную параболу. a- коэффициент в уравнении, стоящий при x², b-коэффициент квадратного уравнения, стоящий при x.
, где a и b – коэффициенты в квадратном уравнении, задающем данную параболу. a- коэффициент в уравнении, стоящий при x², b-коэффициент квадратного уравнения, стоящий при x.В нашем примере: a=1, b= - 6. Тогда:

yв найдем, подставив xв в исходное уравнение: yв=-9
Вершина параболы: (3;-9)
Способ 2 Координаты вершины параболы можно найти, выделив в двучлене x²-6x полный квадрат:

2) Сдвигаем оси координат в найденную точку (3;-9)(по первому способу), или на 3 вправо по оси Ох и вниз на 9 по оси Оу(по второму способу) как показано на рисунке:

В новой системе координат строим стандартную параболу y = x² (ветви вверх) по точкам(координаты точек указаны относительно центра O1-центра новой системы координат):


График функции y = x² - 6x готов!